电路原理笔记

Hole Black Lv2

第一章 电路概述

Y-变换

### 电压源与电流源的等效转换

第二章 电路分析的基本方法及定理

1、图

点表示节点,线段表示支路 树; 连支; 支路数为b,节点数为n 表示树枝的数目,则 (单连支回路、独立回路)基本回路数=连支数目 欧拉公式:面的数目=棱的数目-顶点的数目+2 将凸多面体的一个面任意扩大,得到平面图的网孔数=基本回路数 单树支割集:n-1个

2、支路电流法

以支路电流作为电路变量 独立节点数(n-1) 独立节点电流方程数(n-1)

支路电流法是以电路中各支路电流作为电路变量, 对 (n-1) 个独立节点列写基尔霍夫电流定律方程, 对 (b-n+1) 个独立回路列写基尔霍夫电压定律方程, 共列写出b个方程,然后求解这b个方程,最后得到b条支路电流的求解方法。

尽可能将电流源所在支路置于连支上 ### 3、回路电流法 以一组独立回路作为变量

4、网孔电流法

在平面电路中,以各网孔环流作为未知量, 对 (b-n+1) 个网孔列写KVL方程, 从而求出各网孔电流(即网孔环流)的电路分析方法。

5、节点电压法

### 6、改进节点法

首先将纯电压源所在支路当做电流源支路列写节点电压方程,由于引入了电流源电流(即电压源所在支路电流)新的未知量,因而需补充电压源两端电压与节点电压间的约束关系,上述求解方法就是改进节点法。

9、替代定理

在线性或非线性、时变或非时变电路中,当某支路电压、支路电流具有确定值时,该支路可用一个极性与支路电压极性相同、大小等于该支路电压的独立电压源替代;同样,该支路也可用一个与原支路电流方向相同、大小等于原支路电流的独立电流源替代,这样替代之后对电路中其余部分的电压、电流分配没有影响,即电路中其余部分的电压、电流保持不变,这就是替代定理。

10

戴维南定理

要计算一个线性有源一端口网络的戴维南等效电路,其步骤和方法如下: (1)计算U利用电路分析方法,计算相应端口的开路电压。 (2)计算R当线性有源一端口网络A中不含受控源时,令A内所有独立电源为零后得到的无源一端口网络P则为纯电阻网络,利用无源一端口网络的等效变换就可求出端口等效电阻;当线性有源一端口网络A中含有受控源时,令A内所有独立电源为零后得到的一端口网络P中仍含有受控源,这时,可采用加压法和开路短路法求R。

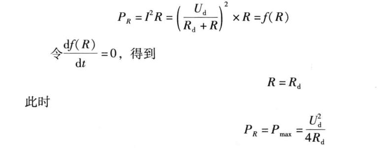
最大功率传输条件

诺顿定理

与戴维南定理中的相同

11、特勒根定理

假设有两个拓扑结构完全相同的网络,它们都具有条支路、个节点, 每条支路电压和电流采用一致的参考方向, 对应支路、节点均采用相同的编号, 则网络的支路电流与网络的对应支路电压的乘积之总和为零, 也有网络的支路电压与网络的对应支路电流的乘积之总和为零。这就是特勒根定理。用数学表达式表示为 倘若是同一个网络,那么有

12、互易定理

第三章 正弦交流电路

表示

有效值: 最大值: 向量形式: ### 电阻 瞬时功率 平均功率=有功功率= ### 电感 电感值,单位为亨利( 自感电抗(感抗),单位为 电感电纳(感纳),单位为西门子() 瞬时功率 平均功率=有功功率=0 磁场储能

电容

略 ### 阻抗、导纳

功率计算

瞬时功率

传输方向始终不变,代表电网络实际消耗的电功率分量,平均值等于有功功率 是电源和网路之间往返交换的能量,代表瞬时功率中的无功分量,平均值为零 定义该瞬时功率中无功分量的最大值为无功功率

无功功率

,单位为伏安,简称乏(var)

  1. 负载为电感性,,表示电感性负载吸收(消耗) 无功功率
  2. 负载为电容性,,表示电容性负载发出(产生) 无功功率

有功功率

,单位W 功率因数角: 功率因数:

功率表

读数

#### 设备容量 额定电压与额定电流的乘积

视在功率

单位为伏安(),或千伏安(

相互关系

#### 复数功率 是电流共轭向量 若电压电流方向一致,则上式表示一端口网络吸收的功率

对于无源一端口网络,其吸收的复数功率可表示为

RL 串联电路

有功功率: 无功功率:

功率守恒

各支路电流的共轭向量也满足基尔霍夫电流定律: 一个封闭的电路系统,其各支路的复功率之和为零:若选取各支路电流与电压的参考方向一致,则根据特勒根定律,有 #### 正弦交流电路中的功率守恒定理

对典型支路有:

即有

共轭匹配

第四章 谐振、互感及三相交流电路

谐振状态:阻抗或导纳呈纯电阻特性,使端口电压与电流成为同相。 ### 1、谐振现象分析 #### RLC串联谐振(电压谐振) 谐振角频率: 谐振频率: 特性阻抗:,单位为 其他: 品质因数Q:

RLC并联谐振(电流谐振)

谐振角频率: 并联谐振的条件:感纳与容纳相等, 即 , 或
此时电路人端电流为 各元件上电流分别为

并联谐振时,若外加电压不变,则谐振时流入的电流最小,此电流等于电阻上流过的电流。 - 若并联电路中没有电导的支路,则谐振时入端导纳 。其等效阻抗 ,因此由 并联而成的电路在发生谐振时,其入端电流

并联谐振电路的品质因数定义为电路感纳 (或容纳 )与电导 之比,即

2、互感耦合电路

全篇

评论